
名称
二维体系中磁电阻量子振荡和量子霍尔效应虚拟仿真实验
实验目的
实验背景
习近平总书记在就量子科技研究和应用前景主持的中共中央政治局第二十四次集体学习时强调:“量子力学是人类探究微观世界的重大成果。量子科技发展具有重大科学意义和战略价值,是一项对传统技术体系产生冲击、进行重构的重大颠覆性技术创新,将引领新一轮科技革命和产业变革方向。要充分认识推动量子科技发展的重要性和紧迫性,加强量子科技发展战略谋划和系统布局,把握大趋势,下好先手棋。”
量子效应一直是凝聚态物理领域研究关注的重点。二维材料体系的发现为研究量子效应及其应用提供了丰富而理想的材料平台。二维体系中的Dirac半金属态、量子限制效应、磁电阻量子振荡、量子霍尔效应、本征和/或可调控的铁磁性、超导电性、量子反常霍尔效应等涉及基础科学、纳米原型器件及应用等多层次的创新研究。如在足够强的磁场和足够低的温度下,实验测量得到的量子霍尔效应、量子反常霍尔效应霍尔平台处的霍尔电阻值可准确地为25812.80 Ω,严格地等于
,现已经被采用为电阻的新标准。对量子效应的研究具有重要的理论和实际意义。
磁电阻量子振荡、量子霍尔效应等量子效应是《固体物理》、《半导体物理》、《功能材料》、《近代物理实验》等物理类主干课程的重要内容。开展有关量子效应的实验教学,对学生深刻理解凝聚态体系中量子现象的物理本质具有重要意义。但限于条件,本科专业往往很难开设出涉及微纳加工、低温强场下的高精度测量实验。本项目借助虚拟仿真技术,基于极端条件下的微纳测试平台和电子束光刻等大型高端设备,构建“二维体系量子效应虚拟仿真”平台,以解决实验周期长、成本高、无法面向学生大规模开放的问题。
实验目的
本项目依托我校国家级“物质结构与物性测量”虚拟仿真实验教学中心,结合学科特色,项目选题源自凝聚态物理研究前沿和团队老师关于二维体系量子输运的科研成果。通过本实验,使学生提高在极端条件下开展复杂测量的实验技能,培养其科研思维和创新能力,并达到以下目的:
① 熟悉获得低温、强磁场等极端条件的实验方法;
② 熟悉微纳器件加工技术和方法;
③ 理解磁电阻、霍尔电阻等的物理本质;
④ 掌握极低温、强磁场等极端条件下微纳器件物性参数(磁电阻、霍尔电阻)测试方法。
⑤ 理解磁电阻量子振荡和量子霍尔效应的物理规律,导出载流子浓度、迁移率、有效质量、朗道能级指数、载流子寿命、朗德g-因子等。
实验课时
1)实验所属课程所占课时:本实验是《近代物理实验》课程(64学时)的必做实验项目,同时可供研究生培训使用。
2)该实验项目所占课时:本项目属于综合性实验,占4学时。
实验原理
霍耳效应与磁阻效应
运动的载流子(电子或空穴)在磁场中受洛伦兹力作用而引起的偏转,这种偏转导致在垂直电流和磁场方向上产生正负电荷的聚集,从而形成附加的横向电场,这种现象称为霍耳效应。在达到稳态时,某一速度为V0的载流子所受到的电场力与洛伦兹力相等,该种载流子将以弧形方式在外加电场下运动,如图1(a)所示。
由于半导体中载流子的速度总存在一定的统计分布,比该速度慢的载流子将向电场力方向偏转,比该速度快的载流子则向洛伦兹力方向偏转,如图1(b)所示。这种偏转导致载流子的漂移路径增加,也就是说,沿外加电场方向运动的载流子数目减少,从而使电阻增加。这种现象称为磁阻效应。若外加磁场与外加电场垂直,称为横向磁阻效应;若外加磁场与外加电场平行,则称为纵向磁阻效应。

图1载流子(空穴、电子)在电场和磁场下的(a)运动和(b)偏转示意图
二维电子气、朗道能级量子化
二维电子气:如果三维固体中电子的运动在某一个方向(如z方向)上受到限制,那么电子就只能在另外两个方向(x、y方向)上自由运动,这种具有两个自由度的自由电子就称为二维电子气(2DEG)。2DEG一般容易在异质结构中获得。对于半导体突变异质结,由于导带底能量突变量ΔEc的存在,则在界面附近出现有“尖峰”和“凹口”;实际上,对异质结中导带电子的作用而言,该“尖峰”也就是电子的势垒,“凹口”也就是电子的势阱。因此,实际上“尖峰”中的电场有驱赶电子的作用,即形成耗尽层;“凹口”中的电场有驱赶空穴、积累电子的作用,在条件合适时,即可形成电子积累层(即表面导电沟道)。如果“凹口”势阱的深度足够大,则其中的电子就只能在势阱中沿着平面的各个方向运动(即紧贴着异质结界面运动),即为二维运动的电子。引入有效质量概念,则可认为这些电子是经典自由电子,从而可把异质结势阱中的电子看作为具有一定有效质量的2DEG。其它半导体表面沟道(例如MOSFET的沟道)中的电子也是2DGS。
朗道(Landau)能级:载流子在磁场中将作绕磁场回旋的螺旋运动,回旋频率
。当磁场很强、温度很低时,载流子的运动将呈现出量子化效应,在垂直于磁场方向的平面内的运动是量子化的,原来能带中电子状态重新组合,形成了若干个子带,称这些分立的子带为朗道能级。外加磁场下电子朗道能级量子化引起的,磁场中二维电子气系统哈密顿量可以写成:
其中A是矢量势,V (r)是晶格周期势。求解薛定谔方程可得其能量本征值:
(2)
式中
是电子回旋频率。由式(2)可知沿磁场Z方向电子能量具有连续值,而垂直于磁场方向平面内电子能量量子化,相邻朗道能级之间能量相差
。

图2 二维电子气形成示意图 图3 能带在磁场中的量子化
1930年,舒伯尼科夫和德哈斯合作随首次在铋单晶材料中观察到电阻随磁场的倒数呈周期性变化的现象,被称为舒伯尼科夫—德哈斯(Shubnikov-de Haas, SdH
)效应。能级量子化理论能够很好的解释SdH效应。SdH效应是第一个从实验上验证了朗道能级理论的量子效应,也是第一个在固体中观察到的量子效应。随后人们也在一些金属、金属间化合物、半金属和半导体中观察到SdH效应。在低温强磁场条件下,这些材料都具有简并的电子系统和较高的载流子迁移率,SdH效应很容易被观察到,它为研究这些材料的电子结构提供了很丰富的信息,因此SdH效应己经成为研究固体能带,探测固体费米面的重要手段。尤其是最近拓扑绝缘体和拓扑半金属的兴起,使得这种实验方法又被人们重新重视起来。
本质上,SdH效应是由外加磁场下电子朗道能级量子化引起的。由式(2)可知沿磁场Z方向电子能量具有连续值,而垂直于磁场方向平面内电子能量量子化,相邻朗道能级之间能量相差
。由于
,可知朗道能级的能量随磁场线性增加,随着磁场增大,这些能级相继穿越费米面,当二者恰好相等时,朗道能级上态密度就会被电子完全占据,形成电子态极大值,所以不断变化的磁场导致了费米面电子态密度的周期性变化,从而形成周期性振荡。我们知道电导率是由载流子密度和散射概率决定的,而费米面上的态密度对二者都有影响,所以费米面上态密度随磁场的周期性变化最终会表现为电导率的振荡。
外加磁场下电子态密度的周期性变化是引起物质一系列奇异性质的重要原因。就在SdH效应被发现后不久,德哈斯和范阿尔芬又发现铋单晶的磁化率随磁场的倒数呈周期性振荡,第二种量子振荡现象德哈斯—范·阿尔芬(dHvA)效应被发现。实验上当固定磁场方向时,两种量子振荡的周期相同。其后不久,类似的热电势、热容、热导、霍尔效应等一系列量子振荡效应也被发现,它们产生的本质原因相同但又有一些具体的区别。以SdH效应为例,考虑到实际固体材料的费米面并不都像自由电子模型具有球型费米面,而是具有很大的各向异性。1952年。昂萨格(Onsager)从理论上证明量子振荡的周期和费米面的极值截面积(SF)相对应
(3)
通过以上公式可以很方便地测量计算材料费米面的极值截面积,此外,垂直于磁场方向两个或以上的费米面极值截面就会对应于两个或以上频率叠加的量子振荡。在昂萨格理论的基础上,Lifshits和Kosevish在1956年给出了dHvA效应的定量表达式,即著名的L-K理论,后来发展成一个描述量子振荡普适理论,极大的推动了相关领域的发展。而对于SdH效应,其理论处理涉及到各种因素,其相应的L-K公式可以写成:
公式中第一项类似于振幅,它随磁场的增加而增大,随温度和有效质量的增加而减小;第二项代表了散射的影响;最后一项是余弦波因子,其频率由载流子浓度磁场强度决定,同时与材料本征的性质如贝利相位有关。通过L-K公式拟合SdH振荡和相关参数,可以得到许多重要的物理量,例如载流子有效质量,丁格尔温度,贝利相位等,结合相关计算还可以得到载流子浓度和迁移率信息,所以它是研究量子振荡的一个很重要的工具。
但是在实验中要想观察到明显的SdH振荡,材料体系必须要满足一定条件。首先是低温强磁场条件
,必须保证能级间隔
大于热激发能量
,以免热激发统计分布掩盖量子现象。其次要满足散射条件
,即电子在完成在量子化朗道轨道上的回旋运动之前不被散射;最后是量子极限条件,
,即费米能量必须大于朗道能级间隔。
二维电子气系统中的电子在电场与磁场作用下的霍尔效应表现出明显的量子化性质。1980年冯•克利青等人首先从实验中观察到了量子化霍尔效应。他们测量了Si的MOSFET反型层中二维电子气系统中的电子在15T强磁场和低于液氦温度下的霍尔电压Vg沿电流方向的电势差VP与栅压VH的关系。当磁场垂直于反型层,磁感应强度B与沿反型层流动的电流强度I保持不变时,改变栅压Vg,可改变反型层中载流子的密度ns。若
,则在正常霍耳效应中应有
,但是实验表明在某些Vg间隔内,VH曲线中出现平台,对应于平台时的VL最小趋近于零。如图4所示的实验结果,由此得到的霍尔电阻
是量子化的,其值为
(5)
它只与物理常数有关。用这个方法精确地测定出精细结构常数a,其值应为
(6)
量子化霍耳效应可以从二维电子气在磁场中发生的量子化效应得到初步的说明。MOS反型层中的电子被局限在很窄的势阱中运动,所以反刑层中的电子沿垂直于界面的二方向的运动是量子化的,形成一系列分立能级
。在xy平面内,即沿着界面方向其能量仍是准连续的。称这样的电子系统为二维电子气。由于又垂直界面方向的电量子化效应,对应于每一个分立能级,存在一个二维子带。二维电子气在z方向强磁场作用下,沿界面方向电子的运动发生磁量子化,这些二维子带中的电子态要发生重新组合,又分成一系列分立的朗道能级。这样,二维电子气的电子能量在强磁场作用下便完全地量子化了,各能级的能量为
(7)
单位面积内侮一个朗道能级的简并度为![]()
磁场很强、温度很低时,如费米能级EF位于第i和i+l个朗道能级之间时,则i和i以下的朗道子带全被占满,i以上的各子带则全是空的。这时应不存在任何散射,因而
,霍尔电导
单位面积电子数应为被占满的朗道子带数与每一朗道能级简并度的乘积,即
霍尔电阻为
(9)
这就说明霍尔电压出现平台,且对应于崔尔平台,
,即
。

图4 VH、VP、VG关系的实验结果
实验仪器设备
用于虚拟仿真的实物实验装置原型

图5 PPMS DynaCool
图6 微纳测试系统

图7电子束曝光系统Raith 150 图8反应离子刻蚀系统 图9电子束蒸发镀膜系统
计算机及仿真软件
(1)微型计算机:Intel酷睿I5,双核CPU,8G内存,250G硬盘,独立显卡512M显存,17英寸液晶显示器,安装Windows 7及以上的系统。
(2)微纳器件加工及量子效应测量仿真系统:包含三个模块,即低温强场模块、电子束光刻(EBL)模块、微纳器件测试模块,该仿真软件由中南大学自主研究开发,为网络版,可使用火狐浏览器(Firefox55.0以上版本)、谷歌浏览器(Chrome60.0以上)或360浏览器(极速模式)、或IE10等浏览器运行。具有自主知识产权。
实验材料
实验材料
本实验主要针对石墨烯、黑磷、Bi2O2Se等高载流子迁移率二维体系的磁电阻SdH量子振荡和/或量子霍尔效应进行测量与研究,这些二维体系属于当前前沿研究热点,有大量的真实测试数据。
(1)石墨烯:磁电阻SdH量子振荡、量子霍尔效应;
(2)黑磷:磁电阻SdH量子振荡、量子霍尔效应;
(3)碲烯:磁电阻SdH量子振荡、量子霍尔效应;
(4)硒化铟: 磁电阻SdH量子振荡、量子霍尔效应;
(5)Bi2O2Se:磁电阻SdH量子振荡。

图10石墨烯、黑磷等高载流子迁移率二维体系的磁电阻SdH量子振荡和量子霍尔效应
参数预置
(1)测试样品由用户预设;
(2)磁场变化范围及步长由用户预设;
(3)温度变化范围及步长由用户预设;
(4)EBL参数由用户预设;
(5)霍尔器件测试中的工作电流由用户预设。
实验教学方法
使用目的
我们贯彻以“学”为中心的教学理念,采取了引导式、启发式、同伴讨论式等多种教学方法,激发学生的实验兴趣。如:本虚拟仿真实验设置了学生课前预习、回答问题等环节,帮助其理解实验原理;在虚拟实验过程的关键步骤,设计了原理介绍、注意事项及设问,引导学生对实验原理和过程进行思考,同时可与同学及老师交流讨论,加深对实验原理和物理内涵的理解。只有认真阅读了注意事项,正确回答了问题才能进入下一步,避免了同学在实验过程中依葫芦画瓢。
实施过程
教学实施中,一般在实验之前将仿真实验项目网址通知到学生,让同学们进行网上预习,网上提供了仪器工作原理和结构的详细介绍,以及仪器操作的网络视频,学生能方便地学习实验原理、仪器结构、操作要领及安全规范。实验时,要求学生认真完成仿真实验操作,并改变磁场强度、温度、样品种类等实验条件,测定材料磁性能参数及其变化行为,在线记录数据、绘制实验图线、撰写并提交实验报告。老师根据系统对实验操作的评分和实验报告内容,综合评定实验成绩。
实施效果
该实验在虚拟仿真技术条件下,完成实物实验室难以对本科生全面开展的微纳霍尔器件加工及低温强场条件下的微纳霍尔器件物理参数测量与分析,借助于虚拟仿真技术,直观形象地将微纳器件加工、大型仪器操作方法和实验测试过程展示在学生面前。虚拟仪器画面和操作流程逼真,学生可反复进行“仿真”操作,降低了实验成本,避免了大型昂贵仪器被损坏的风险,使学生在更高层面上加深对知识和实验技能的掌握和理解,激发了实验探究的兴趣。
该虚拟仿真实验项目可实现资源共享,具有较强的综合性和研究性,有助于培养学生的科学思维和创新能力。
实验方法与步骤要求
实验方法描述
本实验利用虚拟仿真技术,充分挖掘学院低维物理与器件、量子物理与量子调控研究团队的科研成果,以教师科研及文献资料相关数据为基础,开发了运用电子束曝光系统、反应离子刻蚀系统、电子束蒸发镀膜系统、低温强场测量系统研究二维体系量子效应的仿真实验,使这些无法对本科生开设的经济和时间成本极高的项目得以以虚拟的形式向本科生开放。本实验综合运用量子力学、固体物理、半导体物理等方面的物理原理与低温强场下的实验技术,利用高端测试设备,可实现在50 mK—室温范围内对器件的磁电阻、霍尔电阻进行测量,实验提供多种不同性质的仿真样品供学生选择,并进行微纳器件的加工制作及器件的磁电阻SdH量子振荡、量子霍尔效应特性测试等。本仿真实验流程图(图11)和实验室场景图(图12)如下所示:


学生交互性操作步骤说明
合法用户登录仿真系统后,首先必须下载安装运行环境,然后进行交互性操作,包含以下十一大步骤。具体如下:
步骤一、样品转移
(1)用金刚石刀将带标记的衬底切割成大小合适的方形形状(6mmx7mm);
(2)将生长的或机械剥离的二维材料样品转移到带标记的衬底上。

图13 切割硅片衬底
图14 转移二维材料
步骤二、霍尔器件的电极图形曝光
(1)利用Raith 150II绘图软件,根据样品形状尺寸设计Hall器件的电极图形;
(2)采用5000 r/min的转速,在样品衬底上旋涂一层电子束光刻胶PMMA,用170℃热板烘烤3分钟,具体操作包括:打开匀胶机→装载样品→打开真空阀吸住样品→在样品表面滴1-2滴PMMA→设置转速、时间→启动→匀胶结束关闭真空阀→取下样品→置于预热到170℃的热板烘烤3分钟→取下样品→关闭匀胶机和热板;

图15
旋涂光刻胶
图16 准备曝光
(3)利用电子束曝光系统进行电极图形曝光,具体操作包括:Load Lock放气→打开Load Lock→装载样品→关闭Load Lock→Load
Lock抽真空→进样→真空达到后加高压→打开SEM探头、找到样品、聚焦、消像散→测束流→选择预先设计的电极图形开始曝光→结束后关闭电子枪高压、出样;
(4)取样后,在显影液(MIBK:IP A = 1:3)中显影90 s,用IPA(异丙醇)清洗30 s去除残留的显影液,氮气吹干。

图17
显影定影
图18 电极蒸镀
步骤三、电极蒸镀
(1)利用电子束蒸发镀膜仪,蒸镀Ti/Au(5/90 nm)两层薄膜,具体操作包括:样品装载腔放气→打开样品装载腔→将样品安装在样品托盘→关闭样品装载腔→样品装载腔抽真空→打开样品蒸镀室阀门→利用机械联动杆将样品送入样品蒸镀室→关闭样品蒸镀室阀门→并抽真空到5E-5 Torr以下→打开电子枪、水冷→对Ti靶预熔→逐渐加压直到达到指定的镀膜速率→打开挡板、开始镀膜→厚度达到5 nm时关闭挡板、加速电压→切换到Au靶重复预熔、加压、镀膜90 nm等过程→打开样品蒸镀室阀门→样品送入装载腔→关闭样品蒸镀室阀门→装载腔放气→打开样品装载腔→取下样品→关闭样品装载腔→抽真空;
(2)将样品置于热丙酮(约70℃)中浸泡15分钟以上,待PMMA被丙酮完全溶解后,用去离子水清洗干净,用氮气吹干,不需要刻蚀的器件制备完成。
步骤四、Hall Bar刻蚀(根据样品形貌选做)
(1)利用Raith 150II绘图软件,设计Hall bar器件图形;
(2)重复步骤一中的(2)(3)(4),在电子束光刻胶上获得Hall bar器件图形;
(3)选择Ar或氟基等离子体对样品进行刻蚀,具体操作包括:启动系统→打开气路阀→样品装载室放气→打开样品装载室、安装样品→关闭样品装载室、抽真空→打开等离子体腔阀门→送入样品后关闭等离子体腔阀门→设置合适的功率、气流、时间进行刻蚀→刻蚀完毕后打开等离子体腔阀门→送样品进入样品装载室、关闭阀门→放气、取样→关闭样品装载室、抽真空→选择O2清洗程序清洗等离子体腔室→关机、关闭气路阀门;
(4)将样品放入热丙酮去胶,用去离子水清洗干净,氮气吹干,器件制备完成(如图19)。

图19 通过刻蚀制备的Hall器件图
图20 Westbond 7476D 超声点焊机
步骤五、电极引线焊接(wire bonding)
采用导电银胶把样品衬底粘到样品托上,待银胶变干牢固后,通过引线焊接(wire bonding,图20)将待测器件的电极与样品托的针脚电极相连(如图21(a)和(b))。

图21(a)焊接好的PPMS样品托中的样品,(b)稀释制冷机样品托中的样品
步骤六、装载样品
(1)利用室温样品检测盒检测,确认所有连线导通;
(2)将样品托安装到样品杆上,通过样品杆将样品安装到低温强场系统的测量位置;
(3)启动系统降温程序,将样品所在位置温度降到所需温度。

图22检测器件
图23
Hall bar器件结构及测量示意图
步骤七、连接测量电路
从仪表库中选择所需的测量仪表,如电源表、放大器、电压表、电流表等,按照图23所示测量示意图连接好电路。
步骤八、低场下器件基本物理参数测量
(1)设定温度,采用直流法测量器件的线性I-V曲线和转移特性曲线I-Vg;
(2)设定温度,设置背栅Vg=0
V,器件源漏电极间加上17 Hz、100 nA的恒定交流电(根据电阻大小选择合适电流,避免电流热效应),利用锁相放大器测量器件的纵向电压Vxx和横向霍尔电压Vxy,在-0.5 ~ 0.5 T范围扫描垂直方向磁场,步进为0.005 T(根据测量的曲线精度要求可以自由调整),测得Vxx-B和Vxy-B曲线;
(3)改变背栅Vg,重复步骤(2),测量不同栅压下的Vxx-B和Vxy-B曲线;
(4)改变温度T,重复步骤(2),测量不同温度下的Vxx-B和Vxy-B曲线。
步骤九、高场下量子振荡和量子霍尔效应测量
(1)设定温度,设置背栅Vg=0
V,器件源漏电极间加上17 Hz、100 nA的恒定交流电(根据电阻大小选择合适电流,避免电流热效应),利用锁相放大器测量器件的纵向电压Vxx和横向霍尔电压Vxy,在0~ 9 T范围扫描垂直方向磁场,步进为0.01 T(根据测量的曲线精度要求可以自由调整),测得Vxx-B和Vxy-B曲线;
(2)改变背栅Vg,重复步骤(1),测量不同栅压下的Vxx-B和Vxy-B曲线;
(3)改变温度T,重复步骤(1),测量不同温度下的Vxx-B和Vxy-B曲线;
步骤十、数据处理
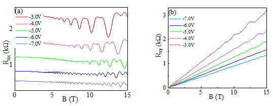
每完成一次测量,原始测试数据会以“DAT”格式的文件保存在电脑中硬盘D区的相应文件夹中。将上述原始数据导入Origin软件进行处理和分析,得到霍尔器件的磁电阻SdH量子振荡(图24)和量子霍尔电阻曲线(图25)。结合理论公式,提取物理参数如载流子浓度、迁移率、有效质量、朗道能级指数、费米截面等。

图24 黑砷霍尔器件SdH量子振荡(a)和量子霍尔效应(b)实验结果
步骤十一、实验讨论及报告提交
点击网页的“在线讨论”按钮,可进入实验讨论区参与讨论,与老师和同学就实验过程中的问题进行交流;完成实验报告后,在“开始实验”页面点击上传实验报告,即可上传电子实验报告。
实验结果与结论要求
1)是否记录每步实验结果:
是
否
2)实验结果与结论要求:
实验报告
心得体会其他
3)其他描述:
考核要求
本实验从以下几个方面对学生进行考核评定
实验前的预习情况
该项目已纳入近代物理实验课程的教学计划,是该课程考核的内容之一,做该实验的学生必须在操作前利用网上在线演示视频及实验简介等进行预习,学习相关知识,掌握相关物理原理及虚拟仿真操作技能,并回答相关问题。
实验操作过程评价
在仿真实验操作中,要求输入相关参数,实现样品的正确选取、参数调节、效果优化,达到实验设计的目的。考核要点包括:仪器操作流程符合规范,实验任务完成的质量和数量等,实验参数设置是否正确等。
实验报告
对实验原理的理解和概括,对实验结果的正确分析,是否正确得到微纳器件对应样品的有效质量等参数。
最后综合预习、操作和实验报告情况,按照20%:30%:50%比例综合评定仿真实验的成绩。
面向学生要求
专业与年级要求
面向物理学、电子信息类、微电子类及相关专业大三及以上本科生。
基本知识和能力要求
学生应具备大学物理、量子力学、固体物理、半导体物理、近代物理实验等的相关基础知识,具有常规仪器设备操作的基本能力,具有基本的现象分析、数据记录、数据处理能力。
实验项目应用及共享情况
1)本校上线时间:2019年
2)已服务过的本校学生人数:600余人
3)是否纳入到教学计划:
是
否
(勾选“是”,请附所属课程教学大纲)
4)是否面向社会提供服务:
是
否
5)社会开放时间:2019年 已服务人数: 500余人